| 일 | 월 | 화 | 수 | 목 | 금 | 토 |
|---|---|---|---|---|---|---|
| 1 | 2 | 3 | 4 | |||
| 5 | 6 | 7 | 8 | 9 | 10 | 11 |
| 12 | 13 | 14 | 15 | 16 | 17 | 18 |
| 19 | 20 | 21 | 22 | 23 | 24 | 25 |
| 26 | 27 | 28 | 29 | 30 |
- CXL 3.0
- 분산 투자
- 기술적 분석
- 미래 기술
- 로봇 산업
- 휴머노이드 로봇
- 인공지능
- 스마트 팩토리
- 신약 개발
- LCB84
- 주식투자
- 재테크
- 로봇 기술
- 펀더멘탈
- 엑시콘
- 주식 차트 분석
- CXL
- 인플레이션
- 가치 투자
- LCB39
- 주식 투자
- HBM
- 투자 전략
- 메모리 풀링
- 눌림목 매매
- 바이오 투자
- 리가켐바이오
- AI 반도체
- 투자 심리
- ADC
- Today
- Total
월가의 제갈공명
달러 코스트 에버리징(DCA) vs 밸류 에버리징(VA) 본문
요즘처럼 시장이 오르락내리락할 때면 "지금 사도 될까?" 혹은 "더 떨어지면 어쩌지?" 하는 고민에 밤잠 설치는 분들 많으시죠? 저도 예전에는 급등하는 차트를 보며 추격 매수했다가 물려보기도 하고, 무서워서 손절했다가 다시 오르는 걸 보며 속앓이한 적이 정말 많았어요. 😅 하지만 투자의 고수들은 시장의 타이밍을 맞추려 애쓰기보다 '시스템'에 몸을 맡긴다고 하는데요. 오늘은 초보자도 쉽게 따라 할 수 있는 달러 코스트 에버리징(DCA)과 조금 더 전략적인 밸류 에버리징(VA)에 대해 이야기해보려 합니다. 😊
1. 달러 코스트 에버리징(DCA)이란? 🤔
DCA는 우리에게 '정액 적립식 투자'로 아주 익숙한 방법이에요. 주가가 높든 낮든 상관없이 매달 정해진 금액(예: 100만 원)을 꾸준히 매수하는 전략이죠. 가격이 비쌀 때는 적은 수량을 사고, 가격이 쌀 때는 더 많은 수량을 사게 되어 결과적으로 전체 매수 평균 단가를 낮추는 효과가 있습니다.
1️⃣ DCA (Dollar-Cost Averaging, 달러 코스트 애버리징)
① 정의
DCA란 일정한 시간 간격으로 ‘항상 같은 금액’을 투자하는 전략입니다.
자산 가격이 오르든 내리든 투자 금액은 변하지 않습니다.
핵심: 금액 고정 · 가격 무시
② 작동 원리
- 매월(혹은 분기마다) 정해진 금액 A를 투자
- 가격이 낮을 때는 더 많은 수량을 사고
- 가격이 높을 때는 더 적은 수량을 산다
- 결과적으로 평균 매입단가가 완화됨
③ 수식적 관점
- 월 투자금: 고정
- 매입 수량 = 투자금 ÷ 당시 가격
- 전략에는 목표 수익률, 매도 규칙이 없음
④ 장점
- 실행이 매우 단순함
- 시장 타이밍 판단 불필요
- 심리적 부담이 가장 낮음
- 급락장에서도 행동 변화 없음
- 자동화(적립식 ETF, 연금)에 최적
⑤ 단점
- 가격이 과도하게 높아도 계속 매수
- 상승장에서 비효율적 매입 발생
- “고가 매도” 개념이 없음
✔ DCA 한 문장 요약
“가격을 보지 말고, 시간을 분산하라.”
DCA의 핵심은 '기계적인 꾸준함'입니다. 시장의 소음에 휘둘리지 않고 감정을 배제한 채 투자할 수 있다는 것이 가장 큰 장점이에요.
2. 밸류 에버리징(VA)은 무엇이 다를까? 📊
밸류 에버리징은 DCA에서 한 단계 더 진화한 방식이에요. 매달 '투자 금액'을 고정하는 게 아니라, '내 계좌의 총 자산 목표치'를 고정하는 겁니다. 예를 들어 매달 내 계좌 가치가 100만 원씩 늘어나도록 목표를 잡았다면, 주가가 폭락했을 때는 목표치를 맞추기 위해 더 많은 돈을 넣고, 주가가 급등해서 이미 목표를 넘겼다면 매수를 쉬거나 오히려 일부를 팔기도 합니다.
2️⃣ VA (Value Averaging, 밸류 애버리징)
① 정의
VA란 ‘포트폴리오 가치’가 미리 정한 목표 경로를 따라가도록
매 투자 시점마다 투자금(또는 매도금)을 조절하는 전략입니다.
핵심: 가치 고정 · 금액 가변
② 작동 원리
- 투자자는 월별 목표 포트폴리오 가치를 미리 정함
(예: 매월 +1,000달러씩 성장) - 실제 포트폴리오 가치가
- 목표보다 작으면 → 추가 매수
- 목표보다 크면 → 일부 매도
- 항상 “목표 가치”로 되돌리도록 행동
③ 수식적 관점
- 목표 가치:
목표가치ₙ = 목표가치ₙ₋₁ + 증가분 - 투자금(또는 매도금):
목표가치ₙ – 현재가치ₙ - 투자금이 음수면 매도
④ 장점
- 구조적으로 저가 매수 · 고가 매도
- 동일 기간 대비 투자 효율(ROI)이 높아지는 경향
- 변동성이 클수록 유리
⑤ 단점
- 하락장에서 대규모 추가 자금 필요
- 상승장에서는 매도 때문에 보유 수량 감소
- 계산·관리 복잡
- 심리적 부담 큼 (폭락 시 “더 사야 함”)
✔ VA 한 문장 요약
“가격이 싸면 공격적으로 사고, 비싸면 줄여라.”
3️⃣ DCA vs VA 핵심 비교 표
| 기준 변수 | 투자 금액 | 포트폴리오 가치 |
| 투자금 | 항상 동일 | 매번 달라짐 |
| 매수 | 항상 함 | 상황에 따라 다름 |
| 매도 | 없음 | 있음 |
| 저가 매수 | 간접적 | 구조적으로 강제 |
| 고가 매도 | 없음 | 자동 발생 |
| ROI(효율) | 보통 | 높은 경향 |
| 절대 투자금 | 큼 | 상대적으로 작음 |
| 난이도 | 매우 낮음 | 높음 |
| 심리 부담 | 낮음 | 매우 큼 |
4️⃣ 성과 해석에서 반드시 알아야 할 핵심
- VA가 ROI가 높은 이유
- 같은 성과를 더 적은 돈으로 달성
- DCA가 금액 수익이 큰 이유
- 총 투자금 자체가 더 큼
- 이는 우열의 문제가 아니라 성격 차이입니다.
5️⃣ 언제 어떤 전략이 더 적합한가
🔹 DCA가 적합한 경우
- 월급·연금 기반 투자
- 장기 ETF 적립
- 투자에 감정 개입을 최소화하고 싶은 경우
- “끝까지 지속하는 것”이 가장 중요한 투자자
🔹 VA가 적합한 경우
- 충분한 현금 여력 보유
- 규칙 기반 투자에 익숙
- 변동성 활용을 중시
- 수익률 효율을 극대화하려는 경우
- (이론적 배경: 내 돈을 지키는 안전한 투자법)
6️⃣ 최종 정리 (가장 정확한 결론)
DCA는 ‘현실에서 실패하지 않는 전략’이고,
VA는 ‘이론적으로 가장 합리적인 전략’이다.
실무·실전에서는
- DCA를 기본 골격으로 유지
- 급락 구간에서만 VA적 사고를 부분 적용하는
혼합 전략이 가장 많이 사용됩니다.
DCA vs VA 한눈에 비교하기
| 구분 | 달러 코스트 에버리징(DCA) | 밸류 에버리징(VA) |
|---|---|---|
| 매수 기준 | 고정된 금액 매수 | 목표 자산 가치에 맞춰 조절 |
| 난이도 | 매우 쉬움 (자동이체 가능) | 보통 (매달 계산 필요) |
| 하락장 대응 | 일정한 금액 계속 투입 | 더 많은 금액을 공격적 투입 |
| 기대 수익률 | 시장 평균 수준 | 시장 대비 높은 편 |
VA는 하락장에서 투자금이 기하급수적으로 늘어날 수 있습니다. 따라서 반드시 여유 자금(현금 비중)을 확보한 상태에서 시작해야 중도 포기를 막을 수 있어요.
"Dollar-Cost Averaging Vs. Value Averaging At Market Highs"
1️⃣ 이 글은 무엇을 묻는가?
이 글의 핵심 질문은 단 하나입니다.
“주식시장이 이미 고점(사상 최고치) 근처에 있을 때,
정액 적립식(DCA)과 밸류 애버리징(VA) 중 어느 전략이 더 합리적인가?”
즉,
- 싸게 살 수 없는 시점
- 이미 많이 오른 시장
에서 적립식 투자를 계속해야 한다면,
어떤 전략이 위험 대비 효율적인가를 검증합니다.
2️⃣ 분석의 전제 조건 (중요)
글의 비교는 이론 논쟁이 아니라 실제 데이터 기반 백테스트입니다.
✔ 기본 가정
- 투자 대상: S&P 500 ETF (SPY)
- 기간: 2015년 ~ 2021년 초
- (명백한 강세장 + 코로나 폭락 포함)
- 투자 방식:
- DCA: 매월 동일 금액 투자
- VA: 매월 목표 포트폴리오 가치 설정 후 매수·매도 조절
⚠️ 핵심 포인트
→ *“시장 고점에서 시작했다”*는 점이 이 글의 핵심 맥락입니다.
3️⃣ 전략별 행동 차이 (저자가 강조한 부분)
📌 DCA의 행동 특성
- 시장이 고점이어도 계속 같은 금액 매수
- 상승장이 길어질수록
- 비싼 가격에 계속 매입
- 포트폴리오 위험 노출 증가
- 매도 없음
📌 VA의 행동 특성
- 시장이 많이 오르면
- 투자 금액 축소
- 또는 일부 매도
- 시장이 급락하면
- 대규모 추가 매수 요구
- 포트폴리오 가치가 목표 경로를 벗어나지 않도록 조절
4️⃣ 백테스트의 핵심 결과
🔹 결과 ① : 투자 효율 (ROI)
- VA가 DCA보다 ROI(%)가 높음
- 이유:
- 같은 결과를 더 적은 투자금으로 달성
- 고점 구간에서 시장 노출을 자동으로 줄였기 때문
🔹 결과 ② : 절대 수익금
- DCA가 더 많은 총수익(달러)을 기록
- 이유:
- DCA는 총 투자금이 훨씬 큼
- 시장에 계속 노출되어 있기 때문
📌 저자의 강조점
“수익률(%)과 수익금($)은 전혀 다른 문제다.”
🔹 결과 ③ : 위기 구간의 차이 (코로나 폭락)
- 2020년 급락 구간에서
- VA 투자자는 짧은 기간에 매우 큰 금액을 투입해야 했음
- (저자는 이를 VA의 ‘현실적 부담’으로 지적)
- 반면 DCA는
- 아무 판단 없이 동일 금액 투자 유지
5️⃣ 저자의 핵심 결론
이 글은 VA가 무조건 우월하다고 말하지 않습니다.
저자의 결론은 매우 절제되어 있습니다.
✔ 저자의 요지 정리
- 시장 고점에서는
- VA가 위험 관리 측면에서 더 합리적일 수 있다
- **ROI(투자 효율)**만 보면
- VA가 우위인 경우가 많다
- 그러나
- VA는 하락장에서 현금 여력과 강한 멘탈을 요구
- 대부분의 개인 투자자에게는
- DCA가 실행 가능성 면에서 더 현실적
6️⃣ 이 글의 진짜 메시지 (해석)
이 글의 핵심은
“DCA vs VA 중 무엇이 더 좋다”가 아닙니다.
👉 진짜 메시지는 이것입니다.
“고점에서 투자할수록
‘얼마를 투자할지’보다
‘어떻게 위험을 조절할지’가 더 중요하다.”
그리고 그 관점에서:
- DCA = 단순·지속·시장 노출 극대화
- VA = 규칙 기반·위험 관리·효율 극대화
7️⃣ 한 문장 요약
「Dollar-Cost Averaging vs. Value Averaging at Market Highs」는
‘고점에서도 투자해야 한다면,
DCA는 편안함을 주고
VA는 효율을 준다’는 것을
실제 데이터로 보여준 글이다.
3. VA 투자금 계산기 맛보기 🧮
밸류 에버리징을 하려면 이번 달에 얼마를 더 넣어야 할지(혹은 빼야 할지) 계산해야 합니다. 간단한 로직은 다음과 같아요.
📝 VA 매수금 계산 공식
이번 달 투자금 = 이번 달 목표 자산 총액 - 현재 내 계좌의 평가 금액
🔢 이번 달 VA 투자금 확인하기
마무리: 나에게 맞는 투자법은? 📝
솔직히 말씀드리면, 정답은 없습니다! 하지만 본인의 성향에 따라 선택할 수는 있어요. 신경 쓰고 싶지 않고 꾸준함이 무기라면 DCA를, 약간의 수고로움을 감수하더라도 저가 매수 효과를 극대화하고 싶다면 VA를 추천해 드려요.
가장 중요한 건 '시장을 떠나지 않는 것'입니다. 어떤 방법을 선택하든 여러분의 투자가 성공적인 결실을 맺길 진심으로 응원할게요! 혹시 여러분은 어떤 투자 방식이 더 끌리시나요? 댓글로 의견 나누어 주세요~ 😊
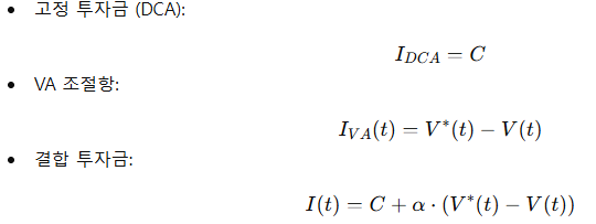
DCA + VA를 수식적으로 결합한 현실적 모델
1️⃣ 왜 “결합 모델”이 필요한가
- DCA
→ 지속 가능하지만 비싸게도 계속 산다 - VA
→ 효율적이지만 폭락 시 자금·멘탈 붕괴
👉 현실 해법은
“DCA를 골격으로 두고,
VA의 ‘저가 매수 기능’만 제한적으로 끼워 넣는 것”
2️⃣ 가장 단순한 결합: 가중 평균 모델
기본 아이디어
- 매 시점 투자금 =
DCA 금액 + VA 조절 항
📐 기본 수식

🔎 변수 설명

의미

3️⃣ 더 현실적인 모델: “하방 한정 VA”
VA의 가장 큰 문제는 상승장 매도와 폭락장 과도 투자입니다.
이를 막기 위해 VA를 ‘추가 매수 전용’으로 제한합니다.
📐 하방 한정 수식

해석
- 목표보다 작을 때만 VA 작동
- 목표보다 크면 매도 없음
- 상승장에서는 순수 DCA처럼 작동
- 하락장에서만 추가 투자
👉 실무에서 가장 많이 쓰이는 형태
4️⃣ 변동성 기반 자동 조절 모델 (고급)
시장 변동성이 클수록
→ VA 성분을 더 키우고
변동성이 낮을수록
→ DCA 비중 유지
📐 변동성 가중치

결합 수식

의미
- 평온한 시장 → DCA 중심
- 급락·급등 구간 → 자동으로 VA 성분 강화
- 감정 개입 제거
5️⃣ 완성형 “현실적 하이브리드 모델”
📐 최종 실무형 수식

추가 안전장치

6️⃣ 이 모델의 직관적 행동 요약
| 상승장 | 거의 순수 DCA |
| 횡보장 | DCA + 소폭 조절 |
| 급락장 | DCA + 자동 추가 매수 |
| 과열장 | 신규 투자 둔화 (매도 없음) |
| 심리 압박 | 수식이 대신 결정 |
7️⃣ 이 모델이 “현실적”인 이유
- 전략 전환 없음
- 매도 강제 없음
- 현금 고갈 방지
- 수익률·지속성 균형
- 연금·ETF·월급 투자에 적합
🔑 한 문장 결론
이상적인 전략은 DCA와 VA 중 하나를 고르는 것이 아니라,
DCA 위에 ‘제한된 VA’를 얹는 것이다.
DCA vs VA 핵심 요약
자주 묻는 질문 ❓
⚠️ 면책조항
본 내용은 참고용 초안으로, 사실과 다른 정보가 포함될 수 있습니다. 동일한 내용을 여러 증권전문가가 분석해도 각자 다른 관점과 결론을 제시하는 것처럼, 본 분석 역시 매번 해석 방식이나 강조점이 달라질 수 있습니다.
따라서, 제시된 모든 내용은 반드시 본인의 직접 검증해야 하며, 투자의 최종 결정과 책임은 사용자 본인에게 있습니다.
'투자' 카테고리의 다른 글
| 이동통신 발달사 (1) | 2026.01.23 |
|---|---|
| 가상현실과 증강현실, 그 이상의 세계 'XR' (0) | 2026.01.22 |
| AI 분류 (1) | 2026.01.19 |
| 우주 산업 생태계 (1) | 2026.01.19 |
| 주식 시장 1월 효과 (2) | 2026.01.15 |
